第7课视频的主要内容: 阐述了李代数作为连续对称性生成元的理论框架。内容涵盖了指数映射、李括号运算及BCH公式,解释了如何通过无穷小变换生成有限群元素。课文通过推导 SO(3) 的基生成元,展示了物理学中厄米算符的构建过程。
第7课完整讲义:zhuanlan.zhihu.com
00:00 开篇语


01:07 连续对称性

02:47 无穷小变换与生成元

03:45 从无穷小到有限指数映射

04:39 生成元的三种等价视角

05:53 针对矩阵李群,李代数的初步定义

06:22 李代数运算为何不是矩阵乘法

07:39 李括号,李代数的真正核心

08:39 三维旋转群的生成元性质


10:09 SO(3)对应李代数的基底

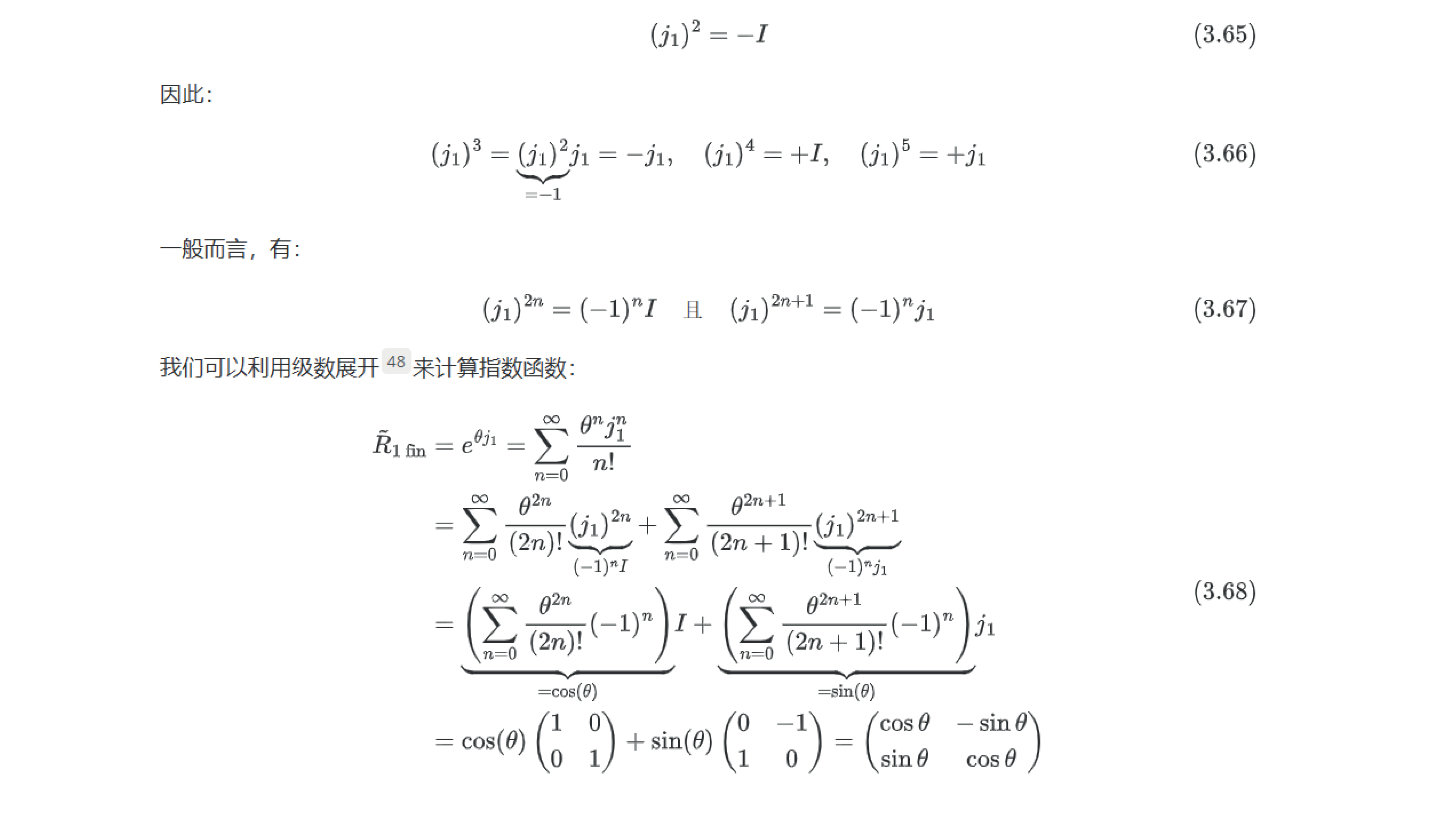
12:00 从生成元重构有限旋转


14:24 SO(3)对应李代数的结构:对易关系

15:27 厄密矩阵 和 已知有限元变换矩阵推导生成元

17:27 结束语


