本课引入范德瓦尔登记号,利用点与无点指标区分旋量手性,并定义旋量度规以实现指标升降与构建洛伦兹不变项。重点证明了 (1/2, 1/2) 表示即为四维矢量表示,揭示了矢量实质上是二阶旋量的本质。
第12课完整讲义:zhuanlan.zhihu.com
00:00 开篇语


01:05 范德瓦尔登记号

04:15 旋量度规


08:11 指标升降和共轭规则

09:29 旋量的洛伦兹变换法则

11:17 构造洛伦兹不变量


15:09 旋量度规和闵氏度规


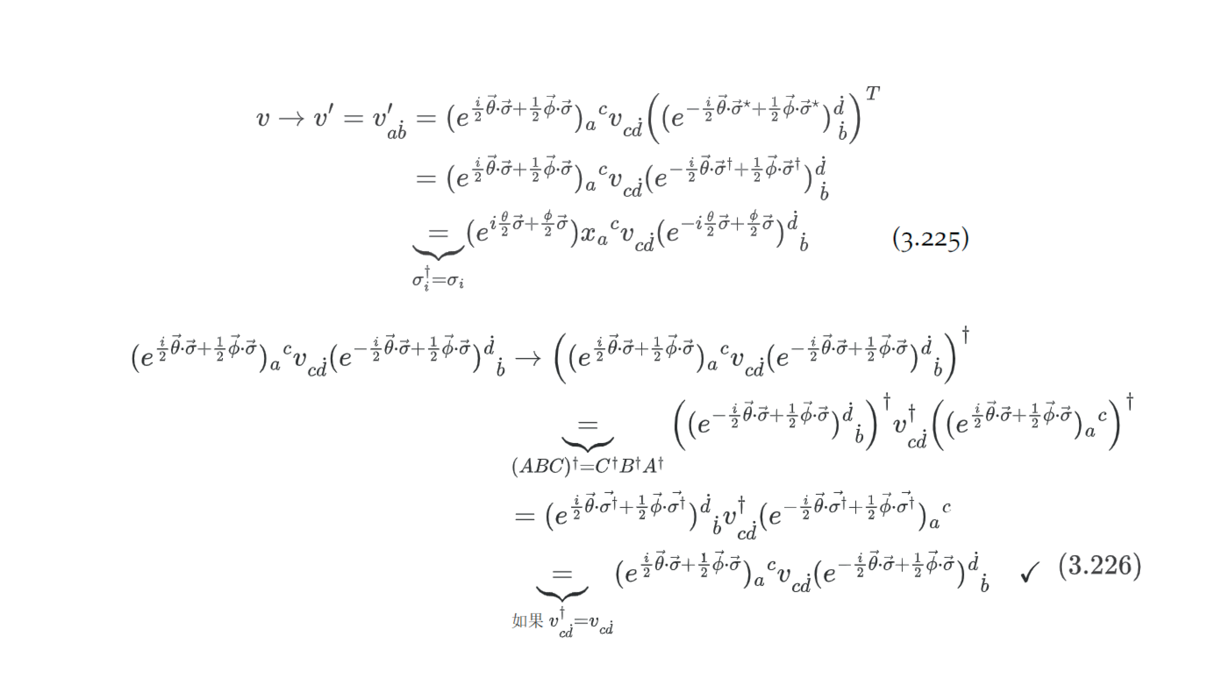
16:29 (1/2, 1/2) 表示


20:03 (1/2, 1/2) 对象的变换法则


21:44 Z轴Boost


25:58 结束语

