学校各种奇葩规定是宝哥一直心心念念想聊的内容,可想这小孩儿哥是有多少需要吐槽的事儿。姐姐也沉浸式地吐槽,倒是让我有点意料之外。全程两人抢着说,如果不刹着车,两小时可能都喷不完!以至于,我都无需再提及自己学生时代经历的规定了——那都不值一提~~
所以,是发展本身在倒退,还是我们的意识认知在变化?如果说让孩子们成长是共识的目标,那这些看不懂的规定,都是在做什么?还是说,原本规定的目标这个起点,就是大相径庭的。
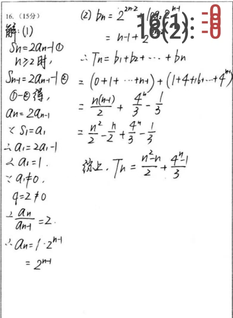
聊天中我们提到的姐姐解的漂亮的数学题,截图放在这里(反正我看不懂哈哈哈)

也许,有站在我们角度的“片面”,但聊完结束之后我也在思考,如果身在其中的俩宝长久以来都未因这些规定而愉悦、幸福,或者,首先能理解吧,那规定的制定者和执行者就必须要去想这背后的为什么了。
主播:小乔/小乖/宝哥
音乐:Why Why Why-王嘉尔(小乖亲选:)

